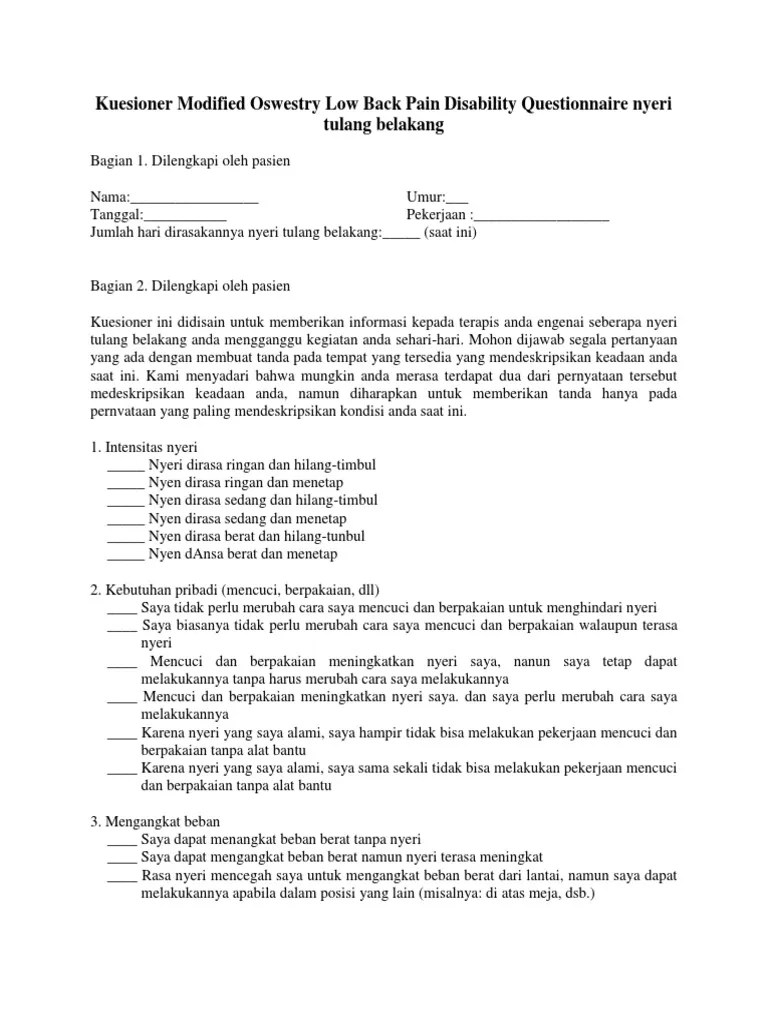
Oswestry Disability Index Pdf
Application Name: Kuesioner Modified Oswestry Low Back Pain Disability
File Type = .Exe
Credit To @ id.scribd.com
PDF Download
Open new tab
Application Name: Oswestry Disability Index Springerlink
File Type = .Exe
Credit To @ link.springer.com
PDF Download
Open new tab
Application Name: 2
File Type = .Exe
Credit To @
PDF Download
Open new tab
Application Name: Neck Disability Index Spanish Pdf Jefflewis828y
File Type = .Exe
Credit To @ jefflewis828y.eklablog.com
PDF Download
Open new tab
Application Name: Adaptacion Transcultural De Cuestionario De Claudicacion Zurich
File Type = .Exe
Credit To @ XsWn-a1FVk0DNM
PDF Download
Open new tab
Application Name: Http Fac Ksu Edu Sa Sites Default Files Arbaic Version Odi In Saudi Arabia Pdf
File Type = .Exe
Credit To @
PDF Download
Open new tab

Application Name: Oswestry Disability Index Scoring Made Easy Abstract Europe Pmc
File Type = .Exe
Credit To @ Oswestry Disability Index scoring made ...
PDF Download
Open new tab